Классы автомобилей
Портал Сlass-car.ru — преследую одну цель, а именно рассказ о том, что такое — классификация автомобилей по классам и освещение существующих, на данный момент, систем классификаций легкового автомобильного транспорта.

Все существующие на данный момент системы классификации автомобилей, строятся на основании следующих различий: мощность или объём двигателя, вместительность пассажирского салона (объём), габаритные размеры автомобиля и занимаемая доля на рынке.
Европейская классификация автомобилей
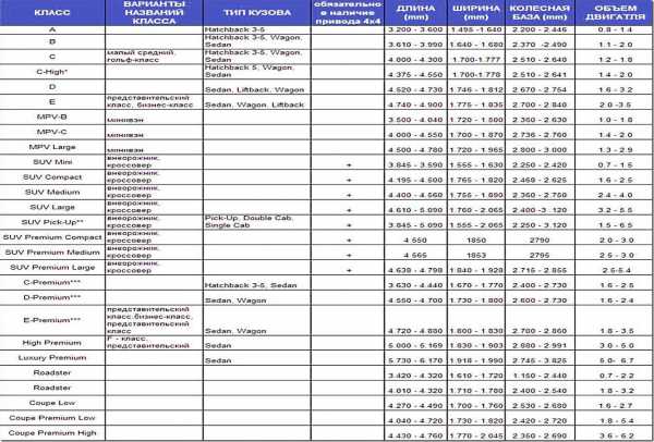
Классификация автомобилей по классам, таблица
Таблица показывает список классов автомобилей и особенности разных классов автомобилей. Изображение кликабельно, для увеличения нужно кликнуть на таблицу.

Классы автомобилей a b c d e таблица: название класса, существующие названия класса, тип кузова, длинна и ширина, колёсная база и объём двигателя.
Классификация автомобилей по типу кузова
Один из видов классификации автомобилей, это классификация по типу кузова. Современные автомобили имеют большое многообразие вариантов исполнения кузовов. Чёткой градации не существует, различные специалисты и автомобильные компании могут трактовать определённый тип кузова по-разному.
- Закрытые: Седан (Двухдверный седан), Универсал, Хетчбэк, Купе, Лимузин, Микроавтобус, Минивэн, Хардтоп, Таун-кар, Комби, Лифтбэк, Фастбэк
- Открытые: Кабриолет, Родстер, Фаэтон, Ландо, Брогам, Тарга, Спайдер.
- Грузопассажирские: Пикап, Фургон.
Классификация автомобилей в США
Начиная с 1985 года в США, все автомобили делятся на категории в зависимости от полезного объёма салона:
- Minicompact car — Мини, приблизительно соответствует европейским классам — A и B.
- Sub-compact cars — Субкомпактный, приблизительно совпадает с европейским классом — B.
- Compact cars, compacts — Компактный, примерно относится к европейскому классу — C.
- Mid-size cars, intermediates — Среднеразмерные автомобили, сопоставим с европейским классом — D.
- Large cars, full-size cars, standard size cars — Полноразмерные автомобили, данный класс похож на европейские сегменты — E и F.
Подклассы для автомобилей с кузовом «универсал»:
- Compact SUV
- Mid-size SUV
- Full-size SUV
Подклассы для внедорожников (SUV — Sport-Utility Vehicles)
- Compact SUV
- Mid-size SUV
- Full-size SUV
class-car.ru
США классы | Великобритания | Россия классы | Европа (Сегмент рынка) | Примеры авто |
Microcar | Microcar, Bubble car | Мотоколяска | A класс | Isetta, Smart Fortwo |
Subcompact car | City car | Городской автомобиль | Chevrolet Spark, Volkswagen up!, Ford Ka, Peugeot107, Opel Agila, Kia Picanto, Fiat500, Suzuki Alto | |
Supermini | Малый класс | B класс | Volkswagen Polo, Ford Fiesta, Peugeot208, Opel Corsa, Citroën DS3, Kia Rio | |
Compact car | Small family car | Гольф-класс, Малый средний | C класс | Volkswagen Golf, Ford Focus, Peugeot308, Opel Astra, Hyundai Elantra, HondaCivic, BMW 1 |
Mid-size car | Large family car | Средний класс | D класс | Volkswagen Passat, Ford Mondeo, Peugeot508, Opel Insignia, Hyundai Sonata, Honda Inspire |
Entry-level luxury car | Compact executive car | Audi A4, BMW3, Mercedes-Benz C-класс, Волга31105 | ||
Full-size car | Executive car | Полноразмерный а/м | E класс | Ford Crown Victoria, Chevrolet Impala, Honda Accord, Holden Commodore |
Mid-size luxury car | Бизнес-класс | Audi A6, BMW5, Mercedes-Benz E-класс | ||
Full-size luxury car | Luxury car | Представительский класс | F класс | Audi A8, BMW7, Mercedes-Benz S-класс |
Sports car | Sports car | Спорткар | S класс | Chevrolet Corvette, Porsche911 |
Grand tourer | Grand tourer | Гран туризмо | JaguarXK, Maserati GranTurismo | |
Supercar | Supercar | Суперкар | Bugatti Veyron, Pagani Zonda | |
Convertible | Convertible | Кабриолет | Mercedes-Benz CLK-класс, VolvoC70, Volkswagen Eos | |
Roadster | Roadster | Родстер | Audi TT, BMW Z4, Porsche Boxster | |
— | Leisure activity vehicle | — | M класс | Peugeot Partner, Škoda Roomster |
— | Mini MPV | Микровэн | Ford B-Max, Opel Meriva, HondaFit | |
Compact minivan | Compact MPV, Midi MPV | Компактвэн | Ford C-Max, Opel Zafira, Volkswagen Touran, Renault Scenic | |
Minivan | Large MPV | Минивэн | Ford Galaxy, SEAT Alhambra, Chrysler Town & Country, Mazda5 | |
Mini SUV | Mini 4×4 | — | J класс | Daihatsu Terios, Mitsubishi Pajero iO, Suzuki Jimny |
Compact SUV | Compact 4×4 | Компактный кроссовер | Jeep Liberty, HondaCR-V, Kia Sportage, Toyota RAV4 | |
— | Coupe SUV | Внедорожное купе | Isuzu VehiCROSS, BMW X6 | |
Mid-size SUV | Large 4×4 | Средний внедорожник | BMW X5, Jeep GrandCherokee, Volkswagen Touareg | |
Full-size SUV | Тяжёлый внедорожник | Cadillac Escalade, Chevrolet Suburban, Range Rover, SsangYong Rexton, Toyota Land Cruiser | ||
Мини-пикап | Пикап | Пикап | — | Chevrolet Montana, FiatStrada, Volkswagen Saveiro |
Среднеразмерный пикап | Chevrolet Colorado, Ford Ranger, Mitsubishi Triton/L200, Nissan Navara | |||
Полноразмерный пикап | Dodge Ram, Ford F150, GMC Sierra, Nissan Titan, Toyota Tundra | |||
Пикап-гигант | Chevrolet Silverado, Ford Super Duty, Ram HeavyDuty |
infotables.ru
Классовая борьба: как за 30 лет автомобильный B-класс перерос D-класс
В целом идея разделения автомобилей на классы логична – но единой классификации при этом не существует. Обычно, говоря о буквенных обозначениях вроде А- класса или С-класса, мы используем одну из самых популярных условных классификаций, данной еще в 1999 году Европейской экономической комиссией. Исходный документ выделяет 9 ключевых категорий: помимо спорткаров, отнесенных к классу S, «многоцелевых» автомобилей (главным образом, минивэнов) класса М и так называемых SUV (кроссоверов и внедорожников), причисленных к классу J, легковые машины разделены еще на 6 классов – от A до F. Последние 6 классов ранжируются главным образом в зависимости от длины машины – однако даже тот самый исходный документ отмечает, что «границы между сегментами размыты иными признаками помимо габаритных размеров», такими как цена, престижность, уровень оснащения и так далее.
Тем не менее, даже в пределах Европы нет абсолютного единства в классификации: к примеру, программа оценки EuroNCAP имеет свое распределение, где кроссоверы и минивэны также разделены в зависимости от размеров. В США классификаций тоже несколько, но самая популярная принадлежит Агентству по охране окружающей среды – это та самая, где крупные по европейским меркам седаны D-класса оцениваются как «среднеразмерные». Основным параметром для разделения на классы здесь служит суммарный объем пассажирского и грузового внутреннего пространства.
Свои классификации легковых автомобилей существуют и в других странах – в Индии, Китае, Японии… Суть разделения порой не праздная: к примеру, в Японии отдельно регламентируемый класс «кэйдзидося» – кей-каров – это результат загруженности дорожной инфраструктуры. Такие машины имеют строго ограниченные габариты, а также объем и мощность двигателей – но их покупка обещает налоговые льготы и прочие преимущества вроде отсутствия обязательного наличия собственного парковочного места.
Но суть всего этого мирового диссонанса вы уже наверняка уловили: единой классификации нет, а ее создание не только бессмысленно, но и практически невозможно. Тем не менее, давайте кратко познакомимся с наиболее популярной европейской «буквенной иерархией» и попутно убедимся в том, что аккуратные коробочки с рассортированными в них машинками постоянно трещат по швам.
А-класс
Типичные представители: Fiat 500, Peugeot 108, Chevrolet Spark
Самый миниатюрный А-класс – заодно и самый «честный». Дело в том, что здесь соблюдение габаритных размеров – это фактически суть всего класса, на которой основана его ограниченная популярность. Покупателям этих машин важны именно компактные габариты вкупе с нормальным внутренним пространством и оснащением. Основное распространение машины этого класса заработали в Европе: в США в них нет потребности, а в России покупатель не видит смысла платить за маленький автомобиль столько же, сколько за «нормальный». Европа же со своими особенностями городской дорожной инфраструктуры, парковок и налогов – ключевой потребитель крошечных машин.
Однако даже А-класс сегодняшнего дня кардинально отличается от того, что подразумевалось под «супермини» несколько десятилетий назад. Достаточно взглянуть на нескольких ярких представителей, чтобы понять, о чем мы говорим. Сейчас габариты автомобилей А-класса колеблются вокруг отметки в 3,6 метра. Так, современный Fiat 500, который считается «коротышкой», имеет 3 546 мм в длину – а его предок, «чинквеченто», выпускавшийся с конца 50-х до середины 70-х, был короче 3 метров – 2 970 мм! Для машины таких габаритов полметра – это огромная разница. И все же Fiat 500 с тех пор вырос на 20%.
Еще один пример – Mini. Оригинальный Morris Mini был чуть крупнее упомянутого выше Фиата и длиннее 3 метров: 3 054 мм. Однако первое поколение компакта в ретро-стиле в 2000-х годах уже насчитывало 3 630 мм в длину, а к нынешнему, третьему поколению трехдверка растянулась до 3 821 мм – то есть, с годами машина выросла на добрую четверть. Строго говоря, компакт фактически вышел за пределы класса, ведь 3,8 метра – это уже почти территория машин сегмента В.

В-класс
Типичные представители: Ford Fiesta, Volkswagen Polo, Skoda Fabia
А вот В-класс – это, пожалуй, одна из самых больших современных «автомобильных фальсификаций». Строго говоря, к нему относятся машины длиной примерно до 4,1 метра – то есть, главным образом те компактные, но полноценно пятиместные хэтчбеки с каким-никаким, но багажником, которые любят в Европе и нередко покупают дочерям и женам в России. То, что на нашем рынке именно этот класс машин фактически вымер – заслуга свежей волны «переростков»: недорогих седанов, которые более «престижны» и любимы нашим покупателем.
На ключевом для «настоящих» компактов европейском рынке они живут и здравствуют: Opel Corsa, Peugeot 208, Skoda Fabia, «настоящий» Volkswagen Polo – все эти модели регулярно обновляются и пользуются популярностью. При этом их размеры остаются «в рамках приличия»: к примеру, Fabia в актуальном третьем поколении укладывается в 4 метра длины, а хэтчбеки Ford Fiesta и Volkswagen Polo лишь на 4-5 сантиметров превосходят эту отметку.
Однако рынок диктует свои условия, и в ответ на запросы потребителей, желающих дешевых седанов, на рынок посыпались разнообразные модели – от противоестественных Peugeot 206 и Ford Fiesta, к которым вопреки всем канонам эстетики приварили отдельный багажник, до поныне пожинающих лавры Hyundai Solaris, Kia Rio, Renault Logan и Volkswagen Polo Sedan. Их габариты вплотную приблизились к седанам С-класса, но в этот сегмент их не пустили стоящие на входе с мокрыми тряпками маркетологи: негоже дешевому седану, созданному на базе маленького хэтчбека, стоять в одном ряду с «полноценными» и более дорогими моделями.
В результате родилось вынужденное «усредненное» понятие класса В+: к нему отнесли как раз те машины, которые оказались слишком большими по меркам класса В, но слишком дешевыми и непрестижными для сегмента С. И среди них есть такие «крепыши», которые по размеру действительно сравнимы даже с современными «цешками»: к примеру, остатки седанов Ford Focus третьего поколения, которые еще доступны в салонах, имеют чуть более 4,5 метров длины (4 534 мм), а Skoda Rapid – чуть меньше 4,5 метров (4 483 мм).
Ретроспективный взгляд на этот компактный сегмент тоже дает ожидаемые результаты: машины и здесь ощутимо выросли. Если отслеживать динамику на примере Volkswagen Polo, который добрался из середины 70-х годов до наших дней, то можно увидеть, как хэтчбек вытянулся с 3,6 метра в первом поколении до 3,7 в третьем, 3,9 в четвертом и полновесных 4 метров в нынешнем, шестом. Однако если оставить за скобками седаны «плюс сайз», то в целом B-класс еще держит себя в руках – ведь здесь компактные габариты все равно остаются одним из условий покупки.

С-класс
Типичные представители: Volkswagen Golf, Ford Focus, Toyota Corolla
С-класс, с одной стороны, можно считать давно сформировавшимся, а с другой, он не лишен «греха», присущего более младшему сегменту В. В пользу первого говорит его долгая и вполне складная история: среднеразмерные по европейским меркам семейные автомобили обычно выпускались как в виде хэтчбеков, так и в трехобъемном кузове типа «седан». История американского автомобилестроения однозначно намекала, что там такие машины были явно маловаты, чтобы именоваться среднеразмерными, так что в Северной Америке С-класс остается компактным семейным. Впрочем, специалисты из EuroNCAP соглашаются с таким подходом, аналогично именуя автомобили этого размерного ряда «компактными семейными».
Современные представители класса имеют около 4,5-4,6 метров длины – таковы Ford Focus, Hyundai Elantra, Toyota Corolla и так далее. Здесь, однако, стоит учитывать «легальную» разницу в габаритах между хэтчбеками и седанами: в гамме одной модели обычно есть несколько типов кузова (седаны, хэтчи, универсалы и иногда – лифтбеки), но при единой колесной базе хэтчбеки, разумеется, оказываются заметно короче. К примеру, разница между Volkswagen Golf и Jetta, играющими в одной лиге – целых 40 сантиметров: 4 258 мм у хэтчбека и 4 659 у седана, хотя по колесной базе Jetta выигрывает всего 3 сантиметра. А вот родственная Skoda Octavia и вовсе вплотную подбирается к более высокому сегменту D, имея 4 670 мм в длину.

А ведь когда-то «среднеразмерными» считались совсем другие автомобили. Взять тот же Golf: в первом поколении в длину хэтчбек имел всего 3,8 метра – то есть, был гораздо меньше сегодняшних машин класса В! Заметный прирост наступил лишь в третьем поколении, в девяностые: тогда габаритная длина Гольфа впервые превысила 4 метра. Четвертое поколение доросло до 4,15 метра, а пятое – до 4,2, что уже близко к современным 4 258 миллиметрам. Гольф – это, конечно, не абсолютный эталон, но тенденции к росту габаритных размеров в девяностые, а затем в двухтысячные он отражает весьма наглядно.

А еще в классе С водятся довольно атипичные обитатели – к примеру, современный Nissan Almera. Автомобиль имеет 4 656 мм в длину – а это, на секундочку, больше, чем у старых представителей класса D вроде Ford Mondeo первого поколения! Причем машины сравнимы не только по длине, но и по колесной базе: 2 704 у Ford и 2 700 у Nissan. И здесь уже совершенно неважно, что в первом поколении «настоящая» Almera имела всего 4 210 мм в длину, тем не менее, относясь к С-классу, а Nissan Sylphy, которым, собственно, и является нынешняя российская Almera, с момента появления в 2000 году лишь чуть не дотянул до 4,5 метров. Важно то, что современный седан, построенный на платформе В0, получил увеличенную на 7 сантиметров по сравнению с Логаном колесную базу – и фактически именно эта метаморфоза и позволила ему шагнуть на ступень выше, хотя по цене и оснащению это типичный «бюджетник» класса В+, сравнимый с Логаном, Солярисом и прочими коллегами.

Еще один пример разработки машины «на вырост» – это французские седаны от PSA: Peugeot 408 и Citroen C4. Стандартную платформу PF2, которая на хэтчбеках имела чуть больше 2,6 метра в длину, растянули еще на 10 сантиметров, получив на выходе 2 710 мм и общую габаритную длину седанов свыше 4,6 метра (на 408 – без пары сантиметров 4,7 метра).
Дополнительную путаницу вносят в классификацию премиальные бренды. Самый яркий пример – Mercedes-Benz C-класса: многие полагают, что буква С однозначно говорит о принадлежности машины к соответствующему сегменту. Альтернативные историки вещают, что буква С – первая в слове «Comfortklasse», но почему-то не учитывают, что в немецком языке слово «комфорт» пишется с заглавной К (Komfort) – то есть, приведенная выше гипотеза тоже весьма спорна. Тем не менее, по всем классификациям компактные премиальные седаны, к которым относится и первая «цешка», и ее предшественник в лице W201, принадлежат не к С-классу, а к более высокому и престижному D-классу, хотя по размерам обычно попадают именно в С. А ведь это еще не вся чехарда…
D-класс
Типичные представители: Volkswagen Passat, Toyota Camry, Mercedes-Benz C-class
Дальше – веселее. Сегмент D включает в себя «крупные семейные автомобили» по европейской классификации, которые американская система считает лишь «среднеразмерными». Как американская система смотрит на то, что здесь же присутствуют еще более мелкие премиальные модели? Сквозь пальцы: мы же помним, что здесь разделение идет не по длине кузова, а по его грузопассажирскому объему. Однако в целом современный D-класс включает в себя автомобили длиной 4,7-4,8 метра: к примеру, кузов Volkswagen Passat насчитывает 4 767 мм.
Тем не менее, многие и здесь стремятся вверх – к примеру, Skoda Superb имеет 4 861 мм длины, а Ford Mondeo еще на сантиметр длиннее! Тут даже исторический экскурс не нужен: новейший Mercedes E-класса располагает 4 932 миллиметрами длины – то есть, этот седан бизнес-класса всего на 6 сантиметров длиннее «семейного» Форда. Ну а про Mondeo мы уже упоминали выше: первое поколение в начале 2000-х было короче 4,5 метров – притом что в двухтысячные тенденция к увеличению габаритов уже была актуальна.
Неплохой наглядный пример снова дает Volkswagen, но теперь со своим Passat. В первом поколении, которое появилось в начале 70-х годов прошлого века, автомобиль имел чуть меньше 4,2 метра длины – то есть, был короче самых затрапезных бюджетных седанов B-класса нашего времени. Появившийся во втором поколении модели седан уже оказался ощутимо солиднее – свыше 4,5 метров длины. Некогда популярный у нас Passat B3 прирастил еще несколько сантиметров (4,57 метра), а В4 взял отметку в 4,6 метра. Следующее поколение, B5, подобралось к 4,7 метрам, а В6 сразу прыгнул к сегодняшним цифрам: нынешний B8 всего на пару миллиметров длиннее его 4 765 мм. Таким образом, модель пошагово набрала более полуметра габаритной длины!

Ну а премиальные машины, как мы уже знаем, играли по своим правилам. Когда-то еще никто не догадывался, что одним из лидеров класса D в России станет Kia со своей Оптимой – а потому Mercedes спокойно выпускал свой C-класс. Однако с момента появления в 1993 году он вырос с 4 487 у первого W202 до 4 686 мм у актуального W205 – то есть, на 20 сантиметров. А знаете, какую длину имел первый штутгартский Е-класс в кузове W124? Нет, не меньше нынешней «цешки», но ненамного больше: 4 740 мм – то есть, современный W205 всего на 5 сантиметров короче «ешки» тех лет. Но самое ироничное – даже не это, а то, что колесная база у него на 4 сантиметра длиннее: 2 840 мм против 2 800!

Е-класс
Типичные представители: Audi A6, Mercedes-Benz E-class, BMW 5 series
Фактически флагманский класс автомобилей для езды без наемного водителя – это сегмент Е, у нас обычно именуемый «бизнес-классом». В США именно он дорос до почетного звания «полноразмерного», а в европейской классификации такие машины называют «executive cars» – то есть, вполне себе представительскими. Их габариты обычно формально ограничивают пятиметровой отметкой, хотя есть примеры и более крупных седанов вроде Chrysler 300C, имеющего 5 044 мм в длину. Более того, есть и еще более странные образцы: в частности, существующий на американском рынке Chevrolet Impala. С одной стороны, автомобиль имеет аж 5 113 мм в длину, что вполне однозначно говорит о его принадлежности к Е-классу. Но с другой, называть переднеприводный 200-сильный автомобиль от совершенно не премиального бренда «представительским» на фоне того, что к этому же классу по формальным признакам причисляют не только Mercedes и BMW, но и Maserati Ghibli, может только настоящий фанат марки.
История развития сегмента Е шла примерно тем же путем, что и у остальных: согласно стратегии постепенного роста. С Мерседесом мы уже, считай, разобрались: помним, что первый Е-класс имел 4 740 мм длины, а нынешний пятый – 4 923, причем увеличение было плавным и непрерывным, по 4-6 сантиметров за поколение. У «пятерки» BMW история еще более долгая: модель уходит корнями в начало 70-х, когда появилась E12, имевшая 4 620 мм в длину. Снова вспоминая Nissan Almera, можно еще раз ухмыльнуться, а затем вспомнить Е34, прибавившую сразу 10 сантиметров, E39, набравшую еще 5, и так далее – вплоть до 4 936 миллиметров у новейшей G30.
К слову, в США все было ровно наоборот. Мы все хорошо помним, что американские дредноуты до топливных кризисов росли как на дрожжах – и пока в Германии первая «пятерка» BMW довольствовалась 4,6 метра длины, по-настоящему полноразмерный Cadillac DeVille, к примеру, в тех же 70-х годах был более чем на метр (!) длиннее, превышая отметку в 5,7 метра! Однако уже к середине 80-х седан ощутимо усох до 5,25 метра и сохранял такие габариты до отхода в историю в середине двухтысячных.
F-класс
Типичные представители: Mercedes-Benz S-class, Jaguar XJ, Bentley Mulsanne
Этот сегмент – самый дорогой и, пожалуй, самый простой: никаких формальных ограничений ни по максимальным габаритным размерам, ни по цене, ни даже по объему внутреннего пространства. Учитывая отсутствие верхних границ (и известность нижних на отметке в 5 метров), нет смысла пытаться отследить какие-то тенденции в развитии этого класса. Особенно с учетом того, что эти тенденции далеко не всегда схожи с тем, что мы видели выше.
В Америке сегмент «ультралакшери» вообще выделить практически невозможно: все дорогое и роскошное, как правило, принадлежало к обычным фулл-сайзам. Ну а то, что мы привыкли видеть в этом классе сегодня, развивалось неоднородно. К примеру, рост мерседесовского S-класса не был постоянен: после «короткого» первого поколения (4 960 мм) и чуть более длинного второго (5 019 мм) вышел W140 на 5,1 метра, после которого размеры последующих поколений сначала уменьшились, а затем вновь начали расти, оставаясь в пределах 5,2 метра в «обычных» версиях, а в длиннобазных вновь превышая эту отметку.

Что будет дальше?
Даже наше поверхностное обзорное изучение прошлого и настоящего автомобильной промышленности показывает, что тенденция к росту размеров автомобилей в пределах класса постепенно снижается. Габариты новых поколений уже не всегда оказываются больше, чем у предшественников – иными словами, мы уже близки к логическому пределу дальнейшего укрупнения машин. А вот страсть производителей к смешению сегментов, пожалуй, сохранится и в обозримом будущем: сейчас мы наблюдаем не только рождение новых классов машин вроде четырехдверных купе и купе-кроссоверов, но и постепенное проникновение новых моделей на более высокие уровни. Корейские бренды уже прочно обосновались в D-классе и постепенно осваивают сегмент F, хотя пару десятков лет назад это и представить было нельзя. Следующие на очереди – китайцы: учитывая их прогресс за последние 20 лет, укрепление позиций в массовых сегментах – лишь вопрос времени. А там, глядишь, и в премиум замахнуться можно…
www.kolesa.ru
Все авто по классам!
Для того чтобы производителям и покупателям автомобилей было проще определить место конкретной модели на рынке и получить список потенциальных конкурентов той или иной машины, существует определенная классификация транспортных средств. В данной статье мы попытаемся разобраться в сегодняшнем положении европейской классификации автомобилей, а также проанализируем тенденции развития новых сегментов.
- Citroen C1 относится к самому компактному классу — А
Для начала определим, какие же в настоящий момент существуют классы автомобилей в Европе. Самым компактным сегментом является класс А, или особо малый класс. Машины данной категории обычно имеют длину не более 3,6 метра. В качестве примера можно привести несколько автомобилей — Citroen C1, Peugeot 107, Volkswagen Lupo. Формально к данному сегменту можно отнести знаменитый двухместный Smart и относительно свежую модель Toyota iQ, которую изредка можно увидеть и в нашей столице.
Все без исключения автомобили особо малого класса имеют тип кузова хетчбэк. Чаще всего трехдверный. Сегмент А является относительно молодым — реальные его представители начали появляться у производителей в начале 1990-х.
- Яркий представитель малого класса — Peugeot 207
Класс В, или малый класс, включает автомобили, чьи габаритные размеры сегодня вписываются в рамки 3,6—3,9 метра. Почему «сегодня»? Потому, что длина Volkswagen Golf 1974 года выпуска — 3820 мм, хотя машина относится более старшему — малому среднему классу (эта модель, кстати, и является основателем данного класса). Но об этом мы поговорим чуть ниже, а сейчас вернемся к сегодняшнему варианту сегмента В. Сразу отметим, что при определении принадлежности к тому или иному классу в расчет берутся габаритные размеры базовой модели. Поясним: Volkswagen Polo Sedan имеет длину 4384 мм, но это не мешает ему относится к сегменту В.
Начиная с малого класса автомобили могут иметь различные типы кузова — хетчбэк, седан и универсал. Тут в силу вступает закон «от типа кузова принадлежность к классу не меняется». В большинстве случаев базовой версией машин сегмента В являются хетчбэки. В качестве примера приведем несколько популярных моделей этой категории — Volkswagen Polo, Citroen C2 и С3, Audi A1, Seat Ibiza, Ford Fiesta, Mazda2.
- Основатель малого среднего класса — легендарный Volkswagen Golf первого поколения
Самым популярным в Европе на сегодняшний день является сегмент С. Его также называют малый средний класс, компакт-класс или гольф-класс. Последний вариант названия, как несложно догадаться, сегмент получил в честь своего основателя — Volkswagen Golf первого поколения.
В этом классе основным типом кузова по-прежнему является хетчбэк. Хотя практически все модели имеют варианты с типами кузова седан и универсал. Так, все поколения Volkswagen Golf имели четырехдверные модификации — Jetta, Vento, Bora. Самыми популярными в Европе автомобилями гольф-класса являются Volkswagen Golf, Opel Astra, Peugeot 308, Ford Focus, Mazda3, Kia Ceed, Citroen C4, Honda Civic, Renault Megane, Audi A3, Volvo C30, Skoda Octavia.
- Skoda Octavia относится к гольф-классу
Отметим, что кабриолеты, построенные на шасси автомобилей малого, малого среднего и других классов, не относятся к сегментам своих «доноров» — для них существует отдельный сегмент купе-кабриолеты, к которому мы позже вернемся. Таким образом, Volkswagen Eos, Peugeot 308 CC, Renault Megane CC и Audi A3 Cabrio нельзя отнести к гольф-классу.
- Volkswagen Passat — один из самых популярных автомобилей среднего класса в Европе
Еще одним популярным сегментом на рынке Старого Света является класс D, или просто средний класс. Этот сегмент включает в себя автомобили размером 4,4—4,7 метра. Тут расположились преимущественно седаны и универсалы. Хотя большое количество хетчбэков также не спешит покидать этот класс. Среди представителей можно отметить таких игроков, как Audi A4, BMW 3, Volkswagen Passat, Mazda6, Opel Insignia, Peugeot 508, Renault Laguna.
Многие ошибочно полагают, что названия моделей Mercedes показывают, в каком классе они находятся. Это не совсем правильно. Так, Mercedes C-класса — типичный представитель среднего сегмента (D). Еще одним заблуждением является убежденность многих в том, что Skoda Superb является автомобилем бизнес-класса. Этот миф посеяли в души автолюбителей маркетологи чешского производителя. Модель Superb построена на шасси Volkswagen Passat и относится к D-сегменту, хоть ее длина (как и длина Passat) и превышает 4,7 метра.
Такие экземпляры в разговорной речи называют «переростками». Объясняется это просто: у Volkswagen нету модели E-класса, поэтому на Passat в некоторой степени возложена функция бороться за покупателей «одной ногой здесь — другой там».
- Несмотря на солидные габариты, Skoda Superb «живет» в среднем классе
Следующий сегмент автолюбители называют бизнес-классом (Е). Представители этого класса отличаются высоким уровнем комфорта, просторным салоном и большим списком опций уже в базовой комплектации. Подавляющее большинство автомобилей данного сегмента — седаны. Иногда встречаются универсалы бизнес-класса. Очень редко на дорогах можно встретить хетчбэк данного сегмента (Renault VelSatis или Safrane). Вот список основных моделей Е-класса, которые продаются в Европе: Audi A6, BMW 5, Mercedes E, Opel Omega, Peugeot 607, Toyota Camry, Citroen C6 и другие.
- Mercedes E-класса — типичный представитель бизнес-класса
Вот мы и подобрались к самому роскошному европейскому сегменту автомобилей — представительскому классу (F). Тип кузова — только седан. Длина кузова — свыше 5 метров. Двигатель — 6 и более цилиндров. В списке базовых и дополнительных опций для автомобилей данного сегмента присутствуют все мыслимые и немыслимые «навороты». Все возможные технологии автомобилестроения находят свое применение в этих машинах.
Наиболее популярными седанами высшего класса являются хорошо известные нам Audi A8, BMW 7 и Mercedes S. К вершине сегмента F также относят седаны Bentley и Rolls-Royce. Не очень успешно попытался завоевать покупателей данного класса Volkswagen Phaeton. Модели Jaguar XJ и Lexus LS также далеко отстали от «немецкой тройки».
- Volkswagen Phaeton продается хуже своих «соотечественников-одноклассников»
Как мы уже сообщили, купе, кабриолеты и родстеры относятся к отдельному классу — S. Вообще среди купе и открытых моделей можно делать отдельную классификацию, т. к. довольно необъективно сравнивать Audi TT c Mercedes SLR. В привычной нам европейской классификации официально нет подклассов для купе. Хотя автолюбители выделяют различные подсегменты, основываясь на мировой классификации. Таким образом, S-класс можно разделить на пять подгрупп: спортивные автомобили, автомобили класса GT, спорткары, кабриолеты и родстеры.
- Audi TT — легкое спортивное купе
К первому подклассу относят такие машины, как Audi TT, BMW 3, Mercedes CLK, Nissan 370Z. Знаменитый класс купе GT включает в себя таких покорителей автобанов, как Audi A5, Mercedes CL и BMW 6. К спорткарам можно отнести Audi R8, Mercedes SLS AMG, модели Lamborghini и Ferrari.
- Audi R8 находится в одном классе с такими игроками, как Lamborghini и Ferrari
Кабриолеты — открытые автомобили с двумя рядами сидений: Audi A4 Cabrio, Mercedes CLK Cabrio и BMW 3 Cabrio. Двухместные модели с открытым верхом относятся к родстерам — Audi TT Roadster, BMW Z4, Mercedes SLK, Porsche Boxster.
- Mercedes SLK — первый родстер с жесткой автоматической крышей
Изощрения немецких маркетологов в начале XXI века породили еще один подкласс купе. Многие до сих пор не могут принять его за отдельный сегмент — четырехдверные купе. К ним относятся Mercedes CLS, Audi A7 Sportback, Porsche Panamera и Volkswagen Passat CC. Спросите, чем они отличаются от седанов среднего и бизнес-класса? Посадочной формулой (2+2), динамичным силуэтом кузова, отсутствием оконных рамок в дверях и положением на рынке. Практически все появляющиеся в продаже четырехдверные купе имеют платформенного «донора» в среднем или бизнес-классе.
- Благодаря Mercedes CLS мир узнал о новом классе — четырехдверных купе
Вообще для полной классификации спортивных автомобилей необходимо написать целый мануал, поэтому оставим этот класс и перейдем дальше. А дальше нас ждет еще один обширный сегмент европейской классификации — мини-вэны (M). Условно эту категорию автомобилей принято делить на четыре подкласса.
- Nissan Note — микровэн на платформе В-класса
Самыми компактными мини-вэнами являются так называемые микровэны. Это автомобили, построенные, как правило, на шасси моделей малого (В) класса, — Opel Meriva, Nissan Note, Renault Modus. Многие эксперты относят к данному сегменту Mercedes A и Audi A2. Хотя классификация этих автомобилей довольно спорная.
- Peugeot Partner получил большую популярность на нашем рынке
Очень активно в Европе развивается сегмент автомобилей, которые многие называют «фургонами» или «каблучками». К ним относятся Volkswagen Caddy, Peugeot Partner, Renault Kangoo, Skoda Roomster. Эти модели как никакие другие существуют на грани между семейными автомобилями и машинами для выполнения коммерческих нужд.
- Renault Scenic последнего поколения
С 1996 года (когда в серию пошел Renault Scenic) начал свое существование один из быстроразвивающихся классов — компакт-вэны. Это автомобили с повышенной вместимостью, построенные на шасси моделей гольф-класса, — Volkswagen Touran, Renault Scenic, Opel Zafira, Ford C-max, Citroen C4 Picasso. Первым семиместным автомобилем данного сегмента стал Opel Zafira первого поколения.
- Новый Seat Alhambra
Следующим подклассом являются непосредственно мини-вэны, которые изначально имеют как минимум три ряда сидений, — Peugeot 807, Ford S-max, Renault Espace, Volkswagen Sharan. Отметим, что микроавтобусы (Volkswagen Transporter, Peugeot Boxer, Renault Master, Ford Transit) не попадают в список европейской классификации легковых автомобилей.
- Ford Galaxy 2011 модельного года
Последним на очереди является класс внедорожных автомобилей (J). Несмотря на то, что автомобильные эксперты еще десять лет назад утверждали, что данный сегмент изжил себя и находится на грани исчезновения, внедорожники не спешат принимать судьбу динозавров. Напротив, за последние 10—15 лет класс весьма расширился, поэтому для наглядной демонстрации разделим J-сегмент на шесть подклассов.
- BMW X1 стал первым премиум-внедорожником в самом малом подклассе сегмента J
Начнем, пожалуй, с самых маленьких. Компактные внедорожники не имеют большого распространения на нашем рынке, поэтому отметим лишь несколько моделей — Suzuki Jimny, Mitsubishi Pajero Pinin, Daihatsu Terios и BMW X1. Слово «внедорожные» имеет лишь формальное значение по отношению к этим машинам.
- Volkswagen Tiguan — типичный легкий паркетник
Легкие внедорожники более уверенно чувствуют себя вне дороги, но все равно не стоит заезжать на них слишком далеко. Ко второму подклассу сегмента J относятся такие модели, как BMW X3, Audi Q5, Mercedes GLK, Toyota RAV4, Honda CR-V, Volkswagen Tiguan.
- Mercedes ML второго поколения
Среднеразмерные внедорожники сегодня имеют большую популярность среди покупателей автомобилей J-класса. Яркие представители — BMW X5, Mercedes ML, Volkswagen Touareg, Porsche Cayenne, Jeep Grand Cherokkee.
- Audi Q7 находится в классе самых больших внедорожников
Кроме того, классификация выделяет еще так называемые тяжелые внедорожники. К последним можно отнести Mercedes GL, Audi Q7, Cadillac Escalade, Toyota Land Cruiser 200. Большинство представителей данного подкласса имеют три ряда сидений и семь посадочных мест. Главным рынком сбыта подобных моделей являются США и страны Восточной Европы.
- BMW X6 довольно хорошо стартовал в совершенно новом сегменте
Недавно специалисты (не без участия маркетологов) начали выделять еще один подкласс внедорожников — внедорожные купе. Главным игроком в данной категории является BMW X6. К внедорожникам также принято относить универсалы с повышенной проходимостью — Audi A6 Allroad, Volvo XC70, Subaru Outback.
- Audi A4 Allroad — пока еще редкий «зверь» на наших дорогах
Отдельно в классификации автомобилей находятся пикапы. Наибольшую популярность они получили на рынке Северной Америки. Большинство пикапов являются производными от того или иного внедорожника. В Европе наиболее распространенными представителями данного сегмента являются автомобили Mitsubishi L200 и Nissan Navara.
- Пикапы не распространены в нашей стране. На фото — Nissan Navara
Сейчас попробуем разобраться, почему Volkswagen Polo последнего поколения больше по габаритным размерам, чем Golf l, хотя находится на класс ниже. Дело в том, что с каждым новым поколением производители увеличивают габаритные размеры моделей для повышения комфортабельности и безопасности. Таким образом, классы подвержены некоторой акселерации в плане габаритов.
Определять принадлежность модели к тому или иному сегменту проще не по габаритным размерам, а по смене поколений. Например, семейство Fiat Bravo/Brava/Marea относилось к гольф-классу. В начале 2000-х им на смену пришел Fiat Stilo, который и занял нишу модели малого среднего класса в линейке Fiat. В 2008 году он уступил место новому поколению Bravo. Получается, что сегодня ячейка гольф-класса у итальянского производителя занята этой моделью.
- Европейский Ford Fusion многие эксперты классифицируют по-разному
В последнее время компании порой ставят в тупик автомобильных экспертов своими новинками. Границы между классами иногда настолько размыты, что различные издания относят ту или иную модель к разным сегментам. Например, Ford Fusion (европейский) многие считают микровэном на платформе Fiesta. Некоторые специалисты полагают, что это представитель компактных внедорожников.
- Volkswagen Golf Plus второго поколения
Рубеж между моделями гольф-класса и компакт-вэнами также все менее заметен. Так, Volkswagen, выпустив в 2005 году на европейский рынок Golf Plus, заставил напрячь мозги автомобильных журналистов. С одной стороны, это компакт-вэн, т. к. платформа у него от пятого поколения Golf. Но у немецкого производителя уже есть компакт-вэн — Touran. Получается, Volkswagen открыл новый под-подкласс — уже не малый средний сегмент, но еще и не подкласс компакт-вэнов. Аналогичных примеров можно привести очень много.
- Высокий бизнес-хетчбэк BMW 5-Series Gran Turismo
Пожалуй, главным экспериментатором в сегментации автомобилей является компания BMW. Баварцы одними из первых начали успешно выпускать один внедорожник за другим, прокладывая путь для новых моделей других производителей. Недавно на рынке появился хетчбэк бизнес-класса — BMW 5-Series Gran Turismo. C новым поколением «тройки» планируют проделать ту же операцию. Страшно представить, что будут делать эксперты с классом внедорожников, когда баварцы покажут серийную модель BMW X4.
- Audi A1 — премиум В-класс
Наверняка стоит отметить, что нельзя называть все автомобили одного класса конкурентами. Модель Audi A1 не является конкурентом Mazda2, несмотря на то, что они находятся в одном сегменте. Сейчас стало модно оперировать такими терминами, как «премиум» и «бюджетный». Это касается абсолютно всех классов.
Для того чтобы не перегружать материал, мы не делили на подклассы D- и F-сегменты, хотя часто встречаются подсегменты D1 и D2, разделяющие автомобили среднего класса по габаритам. Представительские седаны также можно разделить на «обычные» (Audi A8) и «премиум» (Rolls-Royce Phantom).
С целью наглядно показать отношение автомобилей к различным классам мы подготовили таблицу с распределением некоторых моделей по сегментам:
| Класс | Название | Представители |
| A | Особо малый класс | Citroen C1; Fiat Seicento, Panda; Ford Ka; Hyundai i10; Kia Pride, Picanto; Peugeot 106, 107; Renault Twingo; Seat Arosa; Smart Fortwo; Suzuki Alto; Toyota Aygo, iQ; Volkswagen Lupo |
| B | Малый класс | Alfa Romeo MiTo; Audi 50, Audi A1; Citroen Saxo, C2, C3, DS3; Fiat Uno, Palio, Punto; Ford Fiesta; Honda Jazz; Hyundai Getz, i20, i30; Kia Rio; Lancia Y, Ypsilon; Mazda 121, 2; Mitsubishi Colt; Nissan Micra; Opel Corsa; Peugeot 205, 206, 207; Renault Clio, Logan; Seat Ibiza; Skoda Fabia; Smart forfour; Suzuki Swift; Toyota Yaris; Volkswagen Polo, Gol |
| C | Гольф-класс | Alfa Romeo 145, 146, 147, Giulietta; Audi A3; BMW 3 Compact, 1-Series; Citroen Xsara, C4, DS4; Fiat Tipo, Bravo/Brava, Marea, Stilo, Bravo, Linea; Ford Escort, Focus; Honda Civic; Hyundai Accent, Elantra; Kia Sephia, Shuma, Ceed; Lancia Delta; Lexus CT; Mazda 323, 3; Mitsubishi Lancer, Carisma; Nissan Almera; Opel Kadett, Astra; Peugeot 309, 306, 307, 308; Renault 19, Megane; Saab 9-2X; Seat Toledo, Leon; Skoda Octavia; Subaru Impreza; Suzuki Liana, Baleno; Toyota Corolla, Auris; Volkswagen Golf, Jetta, Vento, Bora; Volvo C30, S40, V40 |
| D | Средний класс | Alfa Romeo 156, 159; Audi 80, A4; BMW 3-Series; Citroen Xantia, C5; Chrysler Sebring, 200; Fiat Croma; Ford Sierra, Mondeo; Honda Accord; Hyundai Sonata; Kia Magentis/Optima; Lancia Dedra, Lybra; Lexus IS; Mazda 626, 6, Xedos 6; Mercedes C; Mitsubishi Galant; Nissan Primera; Opel Ascona, Vectra, Insignia; Peugeot 405, 406, 407, 508; Renault Laguna; Saab 9-3; Skoda Superb; Subaru Legacy; Toyota Avensis; Volkswagen Passat; Volvo S60, V60, V70 |
| E | Бизнес-класс | Alfa Romeo 164, 166; Audi 100, A6; BMW 5-Series; Citroen XM, C6; Chrysler 300C; Honda Legend; Hyundai Grandeur; Lancia Thema, Thesis; Lexus ES, GS; Mazda 929, Xedos 9/Millenia; Mercedes E; Nissan Maxima, Teana; Opel Omega; Peugeot 605, 607; Renault Safrane, VelSatis, Latitude; Saab 9000, 9-5; Toyota Camry; Volvo S80 |
| F | Представительский класс | Audi V8, A8; BMW 7-Series; Cadillac DTS; Hyundai Equus; Infiniti Q; Jaguar XJ; Lincoln Town Car; Lexus LS; Mercedes S; Volkswagen Phaeton |
| S | Спортивные купе | Alfa Romeo GTV, Brera; Audi Coupe, TT; BMW 3 Coupe; Fiat Coupe; Ford Cougar, Puma; Honda Civic Coupe, CR-Z, Integra; Hyundai Coupe; Kia Forte Koup; Mazda MX-3; Mercedes CLK; Mitsubishi Eclipse; Nissan 100NX, 350Z, 370Z; Opel Tigra; Peugeot RCZ; Toyota Celica; Volkswagen Scirocco |
| Купе класса GT | Alfa Romeo GT; Audi A5; BMW 6-Series; Ford Probe; Honda Accord Coupe; Lancia Kappa Coupe; Mazda RX-7, RX-8; Mercedes CL; Mitsubishi 3000GT; Nissan 200SX, GT-R, Skyline; Opel Calibra; Renault Laguna Coupe; Toyota Supra, Camry Coupe; Volvo C70 | |
| Спорткары | Audi R8; Honda NSX; Mercedes SLS AMG | |
| Кабриолеты | Audi 80 Cabrio, A4 Cabrio, A5 Cabrio; BMW 1 Cabrio, 3 Cabrio, 6 Cabrio; Citroen C3 pluriel; Ford Escort Cabrio, Focus CC; Mercedes CLK Cabrio; Mitsubishi Eclipse Spyder; Nissan Silvia Varietta; Opel Astra Cabrio; Peugeot 206CC, 207CC, 306 Cabrio, 307CC, 308CC; Renault 19 Cabrio, Megane Cabrio, Megane CC; Toyota Celica Cabrio, Camry Cabrio; Volkswagen Golf Cabrio, Eos; Volvo C70 CC | |
| Родстеры | Alfa Romeo Spider; Audi TT Roadster, R8 Spyder; BMW Z3, Z4; Fiat Barchetta; Ford StreetKa; Honda S2000; Lexus SC; Mazda MX-5; Mercedes SLK, SL; Nissan 350Z Roadster, 370Z Roadster; Opel Tigra TwinTop; Toyota MR2 | |
| Четырехдверные купе | Audi A5 Sportback, A7 Sportback; Mercedes CLS; Porsche Panamera; Volkswagen Passat CC | |
| M | Микровэны | Audi A2; Citroen C3 Picasso; Fiat Idea; Ford Fusion; Hyundai Atos; Kia Vegna, Soul; Lancia Musa; Mazda Demio; Mercedes A, B; Mitsubishi Colt; Nissan Note; Opel Meriva; Peugeot 1007; Renault Modus; Skoda Roomster; Toyota Yaris Verso |
| Фургоны | Citroen Berlingo; Ford Connect; Mercedes Vaneo; Opel Combo; Peugeot Partner; Renault Kangoo; Volkswagen Caddy | |
| Компакт-вэны | Citroen Xsara Picasso, C4 Picasso; Fiat Multipla; Ford C-max; Honda Stream; Hyundai Matrix; Kia Carens; Mazda Premacy, 5; Mitsubishi Space Star; Nissan Almera Tino; Opel Zafira; Renault Scenic; Toyota Corolla Verso; Volkswagen Touran, Golf Plus | |
| Мини-вэны | Citroen C8; Fiat Ulysse; Ford Galaxy, S-max; Honda Odyssey; Hyundai Trajet; Kia Carnival; Lancia Z, Phedra; Mazda MPV; Mercedes R; Mitsubishi Space Wagon; Nissan Serena; Opel Sintra; Peugeot 806, 807; Renault Espace; Seat Alhambra; Toyota Sienna, Avensis Verso; Volkswagen Sharan | |
| J | Компактные внедорожники | BMW X1; Fiat Panda Cross; Honda HR-V; Hyundai Tucson, ix35; Jeep Wrangler; Kia Sportage; Mitsubishi Pajero Pinin; Nissan Juke; Peugeot 3007; Renault Koleos; Skoda Yeti; Suzuki Vitara |
| Легкие внедорожники | Audi Q5; BMW X3; Citroen C-Crosser; Ford Kuga, Maverick; Honda CR-V; Hyundai Santa Fe; Jeep Liberty, Compass; Kia Sorento; Lexus RX; Mazda Tribute, CX-7; Mercedes GLK; Mitsubishi Outlander; Nissan Qashqai, X-Trail; Opel Antara; Peugeot 4007; Saab 9-4X; Subaru Forester; Suzuki Grand Vitara; Toyota RAV4; Volkswagen Tiguan; Volvo XC60 | |
| Среднеразмерные внедорожники | BMW X5; Ford Explorer; Honda Pilot; Hyundai Terracan, Veracruz, ix55; Infiniti FX; Jeep Grand Cherokkee, Patriot; Kia Mohave; Lexus GX; Mazda CX-9; Mercedes ML; Mitsubishi Pajero/Montero Sport; Nissan Murano; Opel Monterey; Saab 9-7X; Subaru Tribeca; Suzuki Grand Vitara XL7; Toyota Land Cruiser Prado; Volkswagen Touareg; Volvo XC90 | |
| Тяжелые внедорожники | Audi Q7; Ford Expedition; Jeep Commander; Lexus LX; Mercedes GL, G; Nissan Patrol; Toyota Land Cruiser 200 | |
| Внедорожные купе | BMW X6 | |
| Универсалы с пов. проходимостью | Audi A6 Allroad, A4 Allroad; Skoda Octavia Scout; Subaru Outback; Volvo CX70 | |
| P | Пикапы | Ford F-150, Ranger; Mazda BT-50; Mitsubishi L200; Nissan Navara; Toyota Tacoma |
auto.onliner.by
Автомобили «А» класса — список, обзоры, фото и цены
Как известно, все автомобили делятся на классы — «А», «В», «С» и так далее. Класс определяет размеры кузова автомобиля. Сейчас очень популярны компактные авто «А» класса, которые часто называются дамскими машинами или компактными городскими хетчбэками.
У каждого производителя есть свои критерии, но в общем «А» класс характеризуется малыми размерами — длина редко превышает 3.6 метра, а ширина 1.6 метра.
Рассчитаны такие авто на 4 пассажира, хотя некоторые модели считаются пятиместными, неизвестно, правда, как в такой небольшой машинке может поместиться 5 человек. Задние пассажиры комфорта испытывать не будут никакого.

Еще одна характерная черта «А» класса — малая вместительность багажника. О багажнике можно просто забыть. Если же нужно перевести что-то объемное, то придется высаживать задних пассажиров и складывать сидения.
Посмотрим на наиболее популярных представителей «А» класса.
Daewoo-Matiz — наиболее доступный автомобиль по результатам последних лет. Стоимость колеблется от 250-и до 340 тысяч. Объем двигателя — 0.8-1 литр, мощность 51-64 лошадиных силы. Автомобиль в целом хороший и надежный, для передвижения по городу как раз то, что нужно, правда качество сборки тоже не на самом высоком уровне.

Chery QQ — китайский микро хетчбэк, тоже весьма популярный из-за низкой стоимости — 240-260 тысяч. Идет с бензиновыми двигателями на 0,8 и 1,1 литра и с мощностью 52-68 лошадиных сил.

Hyundai i10 — корейский хетчбэк, который в России представлен моделями 2010-2013 годов, хотя в начале 2014 пережил полный рестайлинг. Стоимость начинается от 380 тысяч. Характеристики вполне достойные для «А» класса — 1,1-1,2 литровые двигатели мощностью от 66 до 85 л.с. Построен на базе Hyundai Getz.

Приблизительно такими же характеристиками обладает еще один дамский автомобиль Chevrolet Spark, но стоить будет дороже — от 400 до 500 тысяч. Кстати Spark был признан одним из наиболее популярных автомобилей в России по итогам 2012-2013 годов.

Выпускают «А» класс и итальянцы, их FIAT Panda — городской мини-вэн — яркий тому пример. Обойдется он тоже в 400-450 тысяч в зависимости от характеристик: 1,1 и 1,2 литровые двигатели мощностью в 54 и 60 л.с., выпускается как с механической коробкой переключения передач, так и роботизированной.

Ситикар от Фольксваген — Volkswagen up! — это уже немецкий микро хетчбэк, который стоит от 300 тысяч. Идет с двигателями объемом 1,2 и 1,3 литра, с автоматом или механикой, развивает мощность в 60 и 75 лошадок соответственно.

Как видим, характеристики хетчбэков класса «А» в целом схожи — малолитражные двигатели, мощность которых не превышает 100 лошадиных сил. Обратить внимание можно еще на следующие машины:
- Citroen C1 и С2;
- Форд Ка;
- Сузуки Сплэш;
- Пежо 1007 и 107;
- Skoda Citigo;
- Daihatsu Sonica;
- Great Wall Peri;
- Hafei Brio;
- BYD Flyer II.
Самый известный хетчбэк класса «А» российского производства, это производившаяся до 2011 года в Серпухове «ОКА» — «СеАЗ 1111».
Загрузка…Поделиться в социальных сетях
vodi.su
список, таблица, A, B, C, D
Современные автомобили подразделяют по-разному: по двигателю, количеству ведущих колес либо типу кузова. Но сейчас принято делить машины по категориям, именуя их буквами, в зависимости от целого комплекса параметров. Сегодня постараемся разобрать классы автомобилей и узнаем параметры представителей определенных категорий авто.
Как делятся
Выделять тот или иной класс авто впервые начали в Европе, позже такой метод решили использовать и в нашей стране. Сперва машины на сегменты делили просто для информативности, чтобы проще было делить все изобилие автомобилей. Наиболее распространенными считаются машины таких категорий:
- А

- B
- C
- D
- E
Они являются основными, но в действительности бывают еще и различные модели, о которых мы тоже скажем несколько слов.
Сегмент А
К первой категории А относят самые маленькие машины. Двигатели здесь устанавливаются объемом до 1.2 литра. Кузов преобладает четырехместный, дверей бывает как две, так и четыре, но на заднем ряду тесно практически всегда. Этот класс автомобилей обладает крайне маленьким багажником, поэтому возить с собой что-то габаритное не выйдет. В длину транспортное средство не превышает 3.6 метра, а в ширину 1.6. Такие компактные авто пользуются популярностью у прекрасной половины человечества, даже производители стараются для машин категории А сделать большую цветовую гамму.
Сегмент В
Автомобили В класса являются одними из самых популярных в мире. Малая категория авто сочетает в себе практичность небольшой машины, но и обладает большим пространством салона и багажника. B класс включает модели, обладающие двигателями объемом от 1 до 1.6 литра и салоном, способны вместить до 5 человек. Багажное отделение такой машины достаточно просторно, сюда влезет даже несколько чемоданов в дорогу. В класс имеет размеры в пределах 4 метров в длину и 1.7 в ширину. Несмотря на то что современный В класс своими размерами практически догнал класс С, он все же остается представителем бюджетной категории.
Сегмент С
С класс автомобилей является наиболее распространенным в мире. Первой машиной класса С был легендарный Volkswagen Golf, ранее весь С класс именовали в честь родоначальника. Эти автомобили являются крайне универсальными – хорошо себя чувствую и в городе, и на трассе. Вмещают 5 и более человек и имеют объемный багажник. Класс С имеет двигатели объемом до 2 литров. Многие современные хэтчбеки и седаны С класса по габаритам догоняют следующий уровень, но все же уступают комфортом и оснащенностью. Класс С популярен в Европе в виде хетчбэков, в нашей же стране автомобили класса С популярны в версии седана.
Сегмент D
Следующий класс автомобиля, который мы рассмотрим – это D сегмент. В отличие от класса С, эти авто не так популярны, ведь они стоят намного больше, хоть и лучше оснащены. Машины этого сегменты размером значительно обгоняют компактный класс С – аж 4.5 метра в длину и 1.9 в ширину. Внутрь просторного салона легко поместятся 5 человек, а в багажник влезет несколько чемоданов вещей для дальней поездки. В таких авто все солидней и дороже: от обшивки салона, до деталей двигателя и подвески. Зато вы получаете большую комфортную машину, которая подойдет большинству людей как для езды в городе, так и для длительных поездок по трассе.
Сегмент E
Список этих автомобилей включает в себя большинство премиальных машин современности. В отличие от класса C и D, здесь основной упор сделан на максимальный комфорт для пассажиров и водителя. Большинство бизнесменов и чиновников ездят именно на машинах этого сегмента. Двигатели здесь используются с рабочим объемом более 2.5 литров, а длина машин обычно составляет более 4.6 метров. Салон выполняется из дорогих материалов: кожи, алькантары, со вставками натурального дерева. Современные модели класса С, D и Е на первый взгляд, отличить достаточно сложно, так как все они дорого выглядят и дорого обходятся своим владельцам. В действительности же автопроизводители сами выделяю, какие авто относят к той или иной категории.
Прочие сегменты
Рассмотрев основные категории, поговорим о тех, которые встречаются на дрогах реже. В отличие от А, B и C классов, такие машины имеют еще и подразделы. ‘
К примеру, сегмент F включает в себя два подраздела: заводские эксклюзивные машины и те, которые собираются вручную и под индивидуальный заказ.
В этих машинах применяются передовые технологии и самые современные материалы, но стоят они крайне дорого.
Другой хороший пример – J сегмент. Сюда входит большинство больших полноприводных машин, по-другому они зовутся внедорожники.
- Первый раздел включает в себя небольшие кроссоверы, которые сейчас становятся очень популярны.
- Второй раздел охватил большие кроссоверы, на которых можно ездить по грунтовым дорогам и взбираться на большие бордюры в городе.
- Третий и четвертый подраздел, соответственно, включают в себя рамные внедорожники и большие пикапы. Для этих машин не страшно бездорожье, они вмещают в себя до 9 человек и обладают большой грузоподъемностью.
Отдельным H сегментом стоят родстеры и кабриолеты. Как правило, они имеют только два места, сзади может быть и вовсе двигатель. А вот категория G имеет компоновку 2+2, кузов, соответственно, купе. В этом случае пассажирам на заднем ряду будет очень неудобно находиться, но такая машина и не предназначена для перевозки большого числа людей.
autolirika.ru
Автомобили класса A
В европейской классификации автомобилей, градация классов начинается с самых маленьких, встречайте — автомобили класса «A» имеют несколько названий: городской автомобиль, малолитражка, компактный городской хетчбэк, а класс, к которому относят данный сегмент, называется — особо малый. В Европе автомобили данного класса называют — Syper-mini, в Великобритании — City-car.

Описание автомобильного сегмента:
Сегмент «A» характеризуется малыми размерами, где длинна автомобиля не превышает 3.6 метра, а ширена не выходит за рамки 1.6 метра. В таких автомобилях объём двигателя варьируется от 0,6 до 1,3 л.
Скоростными характеристиками такие автомобили не блещут, как правило скорость ограничена 150 км/ч и даже менее, так как автомобиль имеет небольшую ширину и сравнительно большую высоту, что в свою очередь отрицательно влияет на устойчивость на больших скоростях.
Эти маленькие машинки созданы специально для городских условий эксплуатации, где они с лихвой раскрывают свои плюсы. Первым из положительных качеств, можно выделить маленький расход топлива, в следствии небольшого объёма двигателя. Да и на загруженных городских улицах, легче найти выход из пробки имея меньшие габариты, а малая длинна автомобиля позволяет припарковать практически в любой свободной зоне.
А вот к несомненным недостаткам автомобилям данного класса, можно отнести очень тесный салон, где даже вчетвером вам вряд ли удастся с комфортом доехать из пункта «А» в пункт «Б». Хотя производитель может уверять, что его автомобиль создавался, как полноценный пятиместный. Самым идеальным вариантом эксплуатации таких автомобилей, будет передвижения двух человек и небольшого багажа.
Что для одних кажется минусом, то для других является несомненным плюсом, всё дело в том, что многие начинающие водители выбирают автомобили именно данного класса «A», из-за своих малых габаритов, так как считают, что на таких небольших машинках им будет намного легче научиться управлять автомобилем. Особенно это касается прекрасной половины человечества, наверное, вследствие этого за автомобилями данного класса укоренилось название — дамские машины.

Ходовые характеристики и динамика, автомобилей класса «A» оставляют желать лучшего, вследствие своих небольших размеров, каждая кочка или выбоина на дороге будет отражаться постоянным перетряхиванием пассажиров.
В следствии малых размеров автомобиля, размеры багажного отделения тоже весьма скромны, туда вряд ли поместится чемодан больших размеров, а вот обычная дорожная сумка — в самый раз. Несмотря на свои минусы, связанные с малым жизненным пространством, автомобили данного класса с каждым годом всё больше увеличивают свою долю на рынке легковых автотранспортных средств, способствуют этой тенденции два фактора: рост цен на бензин и нехватка парковочных мест.
Классические представители сегмента:
BYD Flyer II, Chery Kimo, Chery QQ, Chevrolet Spark, Citroen C1, Citroen C2, Daewoo Matiz, Daihatsu Sonica, FIAT Panda, Ford Ka, Great Wall Peri, Hafei Brio, Hyundai i10, KIA Picanto, Peugeot 1007, Peugeot 107, Skoda Citigo, Suzuki Ignis, Suzuki Splash, Volkswagen up!, СеАЗ 1111.
Соотношение класса «A» с другими классификациями:
- Россия: Мотоколяска, городской автомобиль.
- США: Microcar, subcompact car.
- Великобритания: Microcar, bubble car, city car.
- Euro NCAP: Supermini.
class-car.ru
